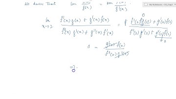
IIT JEE ADVANCED 2016 - MATH PAPER 2 - (CODE 6) - QUESTION No. 37

Tonton & Download Video Musik Gratis

⬇ DOWNLOAD NOW
Kalau muncul iklan pop-up, tutup lalu klik tombol kembali

Download lagu IIT JEE ADVANCED 2016 - MATH PAPER 2 - (CODE 6) - QUESTION No. 37 secara gratis hanya untuk keperluan promosi. Dukung artis favorit kamu dengan membeli musik original di iTunes atau platform resmi lainnya.