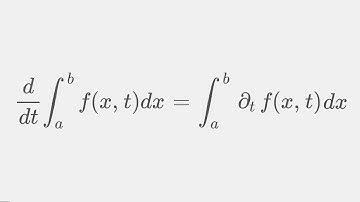
Differentiation Under Sign of Integration | Integration Under Sign of Integration Concepts and Trick

Tonton & Download Video Musik Gratis

⬇ DOWNLOAD NOW
Kalau muncul iklan pop-up, tutup lalu klik tombol kembali

Download lagu Differentiation Under Sign of Integration | Integration Under Sign of Integration Concepts and Trick secara gratis hanya untuk keperluan promosi. Dukung artis favorit kamu dengan membeli musik original di iTunes atau platform resmi lainnya.