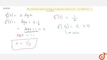
The minimum value of x/((log)_e x) is e (b) 1//e (c) 1 (d) none of these | 12 | MAXIMA AND MINIM...

Tonton & Download Video Musik Gratis

โฌ‡ DOWNLOAD NOW
Kalau muncul iklan pop-up, tutup lalu klik tombol kembali

Download lagu The minimum value of x/((log)_e x) is e (b) 1//e (c) 1 (d) none of these | 12 | MAXIMA AND MINIM... secara gratis hanya untuk keperluan promosi. Dukung artis favorit kamu dengan membeli musik original di iTunes atau platform resmi lainnya.