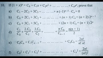
Class 12/Binomial Theorem/Ex:2.1 part 1 Formulae Q,no 1a#neb #class12 #viralvideo

Tonton & Download Video Musik Gratis

тмЗ DOWNLOAD NOW
Kalau muncul iklan pop-up, tutup lalu klik tombol kembali

Download lagu Class 12/Binomial Theorem/Ex:2.1 part 1 Formulae Q,no 1a#neb #class12 #viralvideo secara gratis hanya untuk keperluan promosi. Dukung artis favorit kamu dengan membeli musik original di iTunes atau platform resmi lainnya.