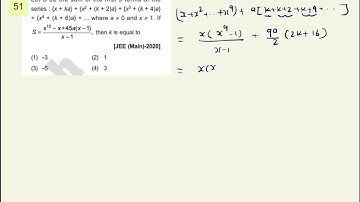
Let S be the sum of the frist 9 terms of the series: {x+ka}+{x^2+(k+ 2)a} + {x^3+(k+4)a}+ {x^4+(k +

Tonton & Download Video Musik Gratis

⬇ DOWNLOAD NOW
Kalau muncul iklan pop-up, tutup lalu klik tombol kembali

Download lagu Let S be the sum of the frist 9 terms of the series: {x+ka}+{x^2+(k+ 2)a} + {x^3+(k+4)a}+ {x^4+(k + secara gratis hanya untuk keperluan promosi. Dukung artis favorit kamu dengan membeli musik original di iTunes atau platform resmi lainnya.