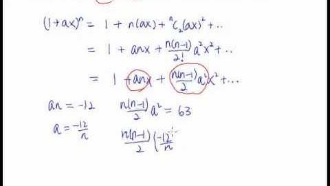
First three terms of Binomial Expansion (1-ax)^n is given find Exponent and constant

Tonton & Download Video Musik Gratis

⬇ DOWNLOAD NOW
Kalau muncul iklan pop-up, tutup lalu klik tombol kembali

Download lagu First three terms of Binomial Expansion (1-ax)^n is given find Exponent and constant secara gratis hanya untuk keperluan promosi. Dukung artis favorit kamu dengan membeli musik original di iTunes atau platform resmi lainnya.