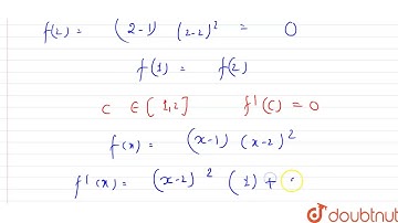
Verify Rolle’s theorem for function on the indicated interval: f(x) = (x – 1)(x – 2)^2 on [1, 2]

Tonton & Download Video Musik Gratis

⬇ DOWNLOAD NOW
Kalau muncul iklan pop-up, tutup lalu klik tombol kembali

Download lagu Verify Rolle’s theorem for function on the indicated interval: f(x) = (x – 1)(x – 2)^2 on [1, 2] secara gratis hanya untuk keperluan promosi. Dukung artis favorit kamu dengan membeli musik original di iTunes atau platform resmi lainnya.