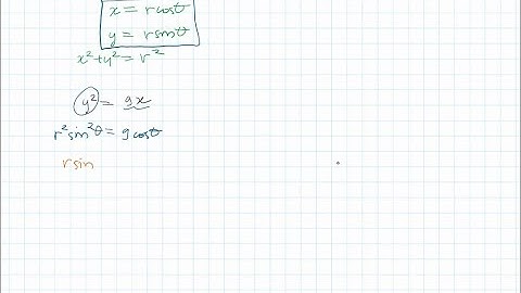
For the following exercises, convert the rectangular equation to polar form and sketch its graph. y…

Tonton & Download Video Musik Gratis

⬇ DOWNLOAD NOW
Kalau muncul iklan pop-up, tutup lalu klik tombol kembali

Download lagu For the following exercises, convert the rectangular equation to polar form and sketch its graph. y… secara gratis hanya untuk keperluan promosi. Dukung artis favorit kamu dengan membeli musik original di iTunes atau platform resmi lainnya.