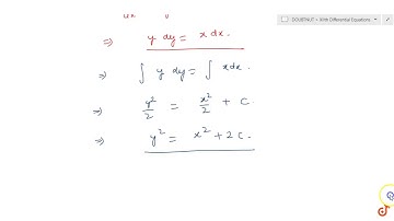
Find the equation of a curve passing through the point (0, –2) given that at any point (x, y) on th

Tonton & Download Video Musik Gratis

⬇ DOWNLOAD NOW
Kalau muncul iklan pop-up, tutup lalu klik tombol kembali

Download lagu Find the equation of a curve passing through the point (0, –2) given that at any point (x, y) on th secara gratis hanya untuk keperluan promosi. Dukung artis favorit kamu dengan membeli musik original di iTunes atau platform resmi lainnya.