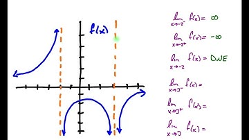
Hitchhiker's Guide to Calculus: 1.3 - Finding Limits from a Graph

Tonton & Download Video Musik Gratis

⬇ DOWNLOAD NOW
Kalau muncul iklan pop-up, tutup lalu klik tombol kembali

Download lagu Hitchhiker's Guide to Calculus: 1.3 - Finding Limits from a Graph secara gratis hanya untuk keperluan promosi. Dukung artis favorit kamu dengan membeli musik original di iTunes atau platform resmi lainnya.