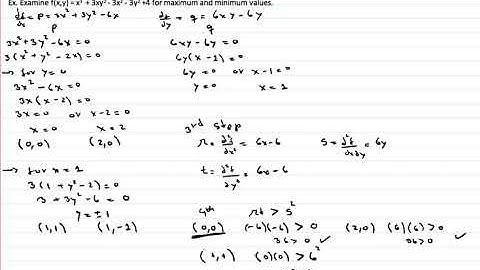
Differential Calculus | Maxima and Minima of functions of two variables | Part -8

Tonton & Download Video Musik Gratis

⬇ DOWNLOAD NOW
Kalau muncul iklan pop-up, tutup lalu klik tombol kembali

Download lagu Differential Calculus | Maxima and Minima of functions of two variables | Part -8 secara gratis hanya untuk keperluan promosi. Dukung artis favorit kamu dengan membeli musik original di iTunes atau platform resmi lainnya.