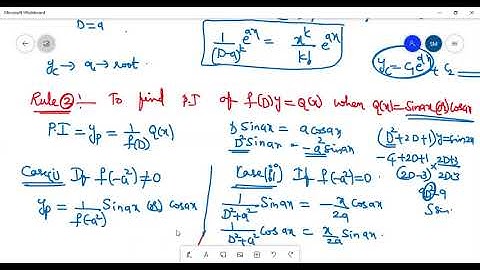
JNTU BTech M2 Maths. Working rule to find Particular Integral of f(D)y=Q (x) when Q (x)=e^ax (V) .

Tonton & Download Video Musik Gratis

⬇ DOWNLOAD NOW
Kalau muncul iklan pop-up, tutup lalu klik tombol kembali

Download lagu JNTU BTech M2 Maths. Working rule to find Particular Integral of f(D)y=Q (x) when Q (x)=e^ax (V) . secara gratis hanya untuk keperluan promosi. Dukung artis favorit kamu dengan membeli musik original di iTunes atau platform resmi lainnya.