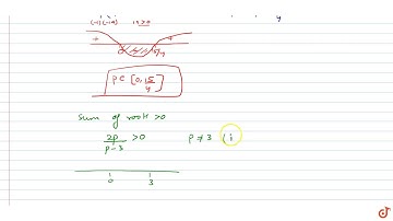
Let the set of all values of p∈ℝ,for which both the roots of the equation x²-(p+2)x+(2p+9)=0 are

Tonton & Download Video Musik Gratis

⬇ DOWNLOAD NOW
Kalau muncul iklan pop-up, tutup lalu klik tombol kembali

Download lagu Let the set of all values of p∈ℝ,for which both the roots of the equation x²-(p+2)x+(2p+9)=0 are secara gratis hanya untuk keperluan promosi. Dukung artis favorit kamu dengan membeli musik original di iTunes atau platform resmi lainnya.