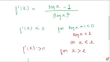
Find the intervals in which the function f(x)=logx /x is strictly increasing or strictly decreasing

Tonton & Download Video Musik Gratis

⬇ DOWNLOAD NOW
Kalau muncul iklan pop-up, tutup lalu klik tombol kembali

Download lagu Find the intervals in which the function f(x)=logx /x is strictly increasing or strictly decreasing secara gratis hanya untuk keperluan promosi. Dukung artis favorit kamu dengan membeli musik original di iTunes atau platform resmi lainnya.