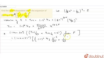
Find the Term Independent of x in the expansion of (3/2 x² - 1/3x)^9.BINOMIAL THEOREM Class11 Maths

Tonton & Download Video Musik Gratis

⬇ DOWNLOAD NOW
Kalau muncul iklan pop-up, tutup lalu klik tombol kembali

Download lagu Find the Term Independent of x in the expansion of (3/2 x² - 1/3x)^9.BINOMIAL THEOREM Class11 Maths secara gratis hanya untuk keperluan promosi. Dukung artis favorit kamu dengan membeli musik original di iTunes atau platform resmi lainnya.