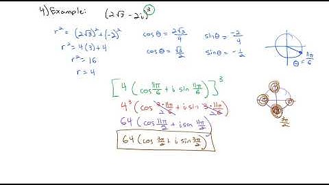
Find n so (1 + sqrt(3)i)^n is a real number (DeMoivre's Theorem)

Tonton & Download Video Musik Gratis

⬇ DOWNLOAD NOW
Kalau muncul iklan pop-up, tutup lalu klik tombol kembali

Download lagu Find n so (1 + sqrt(3)i)^n is a real number (DeMoivre's Theorem) secara gratis hanya untuk keperluan promosi. Dukung artis favorit kamu dengan membeli musik original di iTunes atau platform resmi lainnya.