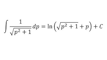
Trigonometric Substitution for Integrals: Example 5 Part 2: Hyperbolic Trig Substitution

Tonton & Download Video Musik Gratis

⬇ DOWNLOAD NOW
Kalau muncul iklan pop-up, tutup lalu klik tombol kembali

Download lagu Trigonometric Substitution for Integrals: Example 5 Part 2: Hyperbolic Trig Substitution secara gratis hanya untuk keperluan promosi. Dukung artis favorit kamu dengan membeli musik original di iTunes atau platform resmi lainnya.