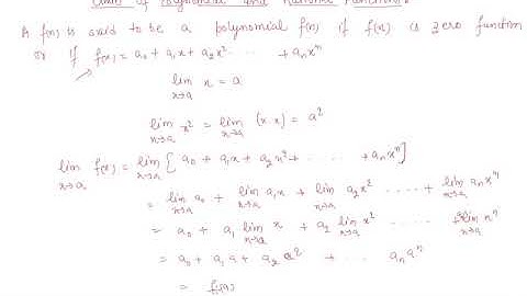
Limits and derivatives | class 11 Mathematics | Part 5 | Limits of Rational Functions

Tonton & Download Video Musik Gratis

⬇ DOWNLOAD NOW
Kalau muncul iklan pop-up, tutup lalu klik tombol kembali

Download lagu Limits and derivatives | class 11 Mathematics | Part 5 | Limits of Rational Functions secara gratis hanya untuk keperluan promosi. Dukung artis favorit kamu dengan membeli musik original di iTunes atau platform resmi lainnya.