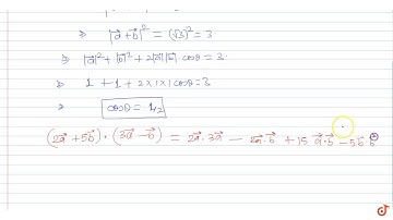
If ` vec a` and ` vec b` are two non-collinear unit vectors such that `| vec a+ vec b|=sqrt(3),`...

Tonton & Download Video Musik Gratis

⬇ DOWNLOAD NOW
Kalau muncul iklan pop-up, tutup lalu klik tombol kembali

Download lagu If ` vec a` and ` vec b` are two non-collinear unit vectors such that `| vec a+ vec b|=sqrt(3),`... secara gratis hanya untuk keperluan promosi. Dukung artis favorit kamu dengan membeli musik original di iTunes atau platform resmi lainnya.