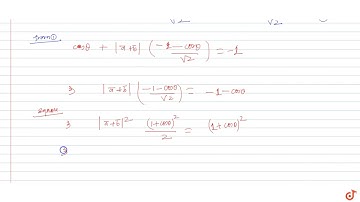
If a and b are two non collinear unit vectors

Tonton & Download Video Musik Gratis

โฌ‡ DOWNLOAD NOW
Kalau muncul iklan pop-up, tutup lalu klik tombol kembali

Download lagu If a and b are two non collinear unit vectors secara gratis hanya untuk keperluan promosi. Dukung artis favorit kamu dengan membeli musik original di iTunes atau platform resmi lainnya.