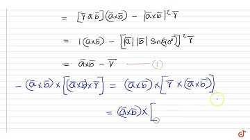
If \( \vec{a} \) and \( \vec{b} \) are mutually perpendicular unit ...

Tonton & Download Video Musik Gratis

⬇ DOWNLOAD NOW
Kalau muncul iklan pop-up, tutup lalu klik tombol kembali

Download lagu If \( \vec{a} \) and \( \vec{b} \) are mutually perpendicular unit ... secara gratis hanya untuk keperluan promosi. Dukung artis favorit kamu dengan membeli musik original di iTunes atau platform resmi lainnya.