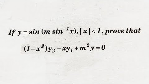
If x= sin(1/a logy), show that (1- x^2)y2- xy1 - a^2y =0

Tonton & Download Video Musik Gratis

⬇ DOWNLOAD NOW
Kalau muncul iklan pop-up, tutup lalu klik tombol kembali

Download lagu If x= sin(1/a logy), show that (1- x^2)y2- xy1 - a^2y =0 secara gratis hanya untuk keperluan promosi. Dukung artis favorit kamu dengan membeli musik original di iTunes atau platform resmi lainnya.