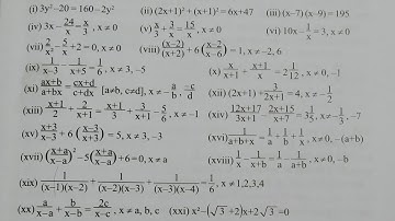
WBBSE chapter 1.2//algebra//quadratic equations//class10//exercise1.2//lesson 1.2//west bengal board

Tonton & Download Video Musik Gratis

⬇ DOWNLOAD NOW
Kalau muncul iklan pop-up, tutup lalu klik tombol kembali

Download lagu WBBSE chapter 1.2//algebra//quadratic equations//class10//exercise1.2//lesson 1.2//west bengal board secara gratis hanya untuk keperluan promosi. Dukung artis favorit kamu dengan membeli musik original di iTunes atau platform resmi lainnya.