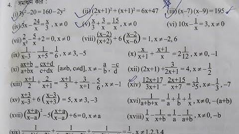
WBBSE exercise 1.2//algebra//quadratic equations//class10// Q no.//lesson1.2//chapter 1.2//

Tonton & Download Video Musik Gratis

⬇ DOWNLOAD NOW
Kalau muncul iklan pop-up, tutup lalu klik tombol kembali

Download lagu WBBSE exercise 1.2//algebra//quadratic equations//class10// Q no.//lesson1.2//chapter 1.2// secara gratis hanya untuk keperluan promosi. Dukung artis favorit kamu dengan membeli musik original di iTunes atau platform resmi lainnya.