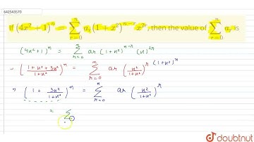
Let α=∑_(r=0)^n▒〖(4r^2+2r+1)n_(C_r ) 〗 and β=(∑_(r=0)^n▒n_(C_r )/(r+1))+1/(n+1).

Tonton & Download Video Musik Gratis

⬇ DOWNLOAD NOW
Kalau muncul iklan pop-up, tutup lalu klik tombol kembali

Download lagu Let α=∑_(r=0)^n▒〖(4r^2+2r+1)n_(C_r ) 〗 and β=(∑_(r=0)^n▒n_(C_r )/(r+1))+1/(n+1). secara gratis hanya untuk keperluan promosi. Dukung artis favorit kamu dengan membeli musik original di iTunes atau platform resmi lainnya.