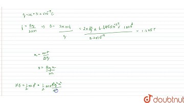
A cyclotron oscillator frequency is `10MHz`. What should be the operating magnetic field for

Tonton & Download Video Musik Gratis

⬇ DOWNLOAD NOW
Kalau muncul iklan pop-up, tutup lalu klik tombol kembali

Download lagu A cyclotron oscillator frequency is `10MHz`. What should be the operating magnetic field for secara gratis hanya untuk keperluan promosi. Dukung artis favorit kamu dengan membeli musik original di iTunes atau platform resmi lainnya.