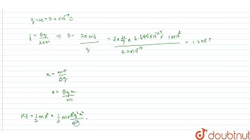
A cyclotron’s oscillator frequency is 10 MHz. What should be the operating magnetic field for accele

Tonton & Download Video Musik Gratis

⬇ DOWNLOAD NOW
Kalau muncul iklan pop-up, tutup lalu klik tombol kembali

Download lagu A cyclotron’s oscillator frequency is 10 MHz. What should be the operating magnetic field for accele secara gratis hanya untuk keperluan promosi. Dukung artis favorit kamu dengan membeli musik original di iTunes atau platform resmi lainnya.