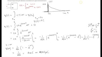
1.9 The current of element is shown. Find the total charge that passed through element at: t=1,3,5s

Tonton & Download Video Musik Gratis

⬇ DOWNLOAD NOW
Kalau muncul iklan pop-up, tutup lalu klik tombol kembali

Download lagu 1.9 The current of element is shown. Find the total charge that passed through element at: t=1,3,5s secara gratis hanya untuk keperluan promosi. Dukung artis favorit kamu dengan membeli musik original di iTunes atau platform resmi lainnya.