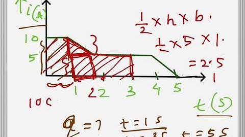
Problem 1.9 | The current through an element is shown in Fig.1.26.Determine the total charge

Tonton & Download Video Musik Gratis

⬇ DOWNLOAD NOW
Kalau muncul iklan pop-up, tutup lalu klik tombol kembali

Download lagu Problem 1.9 | The current through an element is shown in Fig.1.26.Determine the total charge secara gratis hanya untuk keperluan promosi. Dukung artis favorit kamu dengan membeli musik original di iTunes atau platform resmi lainnya.