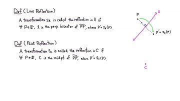
if the point `z_1=1+i` where `i=sqrt(-1)` is the reflection of a point `z_2=x+iy` in the line `...

Tonton & Download Video Musik Gratis

⬇ DOWNLOAD NOW
Kalau muncul iklan pop-up, tutup lalu klik tombol kembali

Download lagu if the point `z_1=1+i` where `i=sqrt(-1)` is the reflection of a point `z_2=x+iy` in the line `... secara gratis hanya untuk keperluan promosi. Dukung artis favorit kamu dengan membeli musik original di iTunes atau platform resmi lainnya.