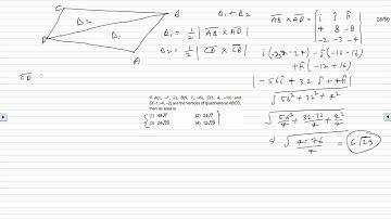
If A(1,-1,2), B(5,7,-6), C(3,4,-10) and D(-1,-4,-2) are the vertices of a quadrilateral ABCD,

Tonton & Download Video Musik Gratis

⬇ DOWNLOAD NOW
Kalau muncul iklan pop-up, tutup lalu klik tombol kembali

Download lagu If A(1,-1,2), B(5,7,-6), C(3,4,-10) and D(-1,-4,-2) are the vertices of a quadrilateral ABCD, secara gratis hanya untuk keperluan promosi. Dukung artis favorit kamu dengan membeli musik original di iTunes atau platform resmi lainnya.