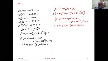
The Q value of a nuclear reaction A+b=C+d is defined by `Q=[m_A+m_b-m_C-m_d]c^2` where the masse...

Tonton & Download Video Musik Gratis

โฌ‡ DOWNLOAD NOW
Kalau muncul iklan pop-up, tutup lalu klik tombol kembali

Download lagu The Q value of a nuclear reaction A+b=C+d is defined by `Q=[m_A+m_b-m_C-m_d]c^2` where the masse... secara gratis hanya untuk keperluan promosi. Dukung artis favorit kamu dengan membeli musik original di iTunes atau platform resmi lainnya.