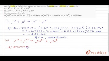
The Q value of a nuclear reaction A + b → C + d is defined by Q = [ mA+ mb− mC− md]c2 where the

Tonton & Download Video Musik Gratis

⬇ DOWNLOAD NOW
Kalau muncul iklan pop-up, tutup lalu klik tombol kembali

Download lagu The Q value of a nuclear reaction A + b → C + d is defined by Q = [ mA+ mb− mC− md]c2 where the secara gratis hanya untuk keperluan promosi. Dukung artis favorit kamu dengan membeli musik original di iTunes atau platform resmi lainnya.