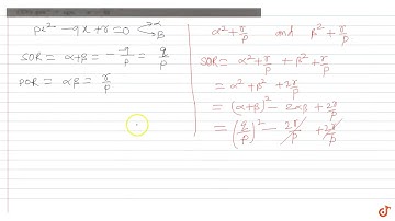
If α and β be two real roots of the equation x^3+p x^2+q x+r=0(r ≠ 0) satisfying the relation αβ+...

Tonton & Download Video Musik Gratis

⬇ DOWNLOAD NOW
Kalau muncul iklan pop-up, tutup lalu klik tombol kembali

Download lagu If α and β be two real roots of the equation x^3+p x^2+q x+r=0(r ≠ 0) satisfying the relation αβ+... secara gratis hanya untuk keperluan promosi. Dukung artis favorit kamu dengan membeli musik original di iTunes atau platform resmi lainnya.