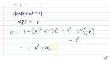
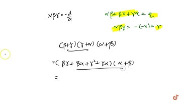
If alpha, beta, gamma be the roots of the equation x^3+px^2+qx+r=0, find the value of..

Tonton & Download Video Musik Gratis

⬇ DOWNLOAD NOW
Kalau muncul iklan pop-up, tutup lalu klik tombol kembali

Download lagu If alpha, beta, gamma be the roots of the equation x^3+px^2+qx+r=0, find the value of.. secara gratis hanya untuk keperluan promosi. Dukung artis favorit kamu dengan membeli musik original di iTunes atau platform resmi lainnya.