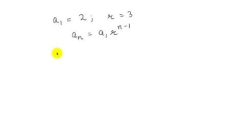
GEOMETRIC SEQUENCE || FINDING THE 5TH TERM

Tonton & Download Video Musik Gratis

⬇ DOWNLOAD NOW
Kalau muncul iklan pop-up, tutup lalu klik tombol kembali

Download lagu GEOMETRIC SEQUENCE || FINDING THE 5TH TERM secara gratis hanya untuk keperluan promosi. Dukung artis favorit kamu dengan membeli musik original di iTunes atau platform resmi lainnya.