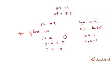
Show that the pair of lines ax^2+2hxy+by^2+L(x^2+y^2)=0 is equally inclined to the same pair.

Tonton & Download Video Musik Gratis

⬇ DOWNLOAD NOW
Kalau muncul iklan pop-up, tutup lalu klik tombol kembali

Download lagu Show that the pair of lines ax^2+2hxy+by^2+L(x^2+y^2)=0 is equally inclined to the same pair. secara gratis hanya untuk keperluan promosi. Dukung artis favorit kamu dengan membeli musik original di iTunes atau platform resmi lainnya.