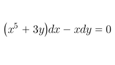
Calculus Help: Differential Equations - Integrating Factor - (x^5+3y)dx-xdy=0 - Techniques

Tonton & Download Video Musik Gratis

⬇ DOWNLOAD NOW
Kalau muncul iklan pop-up, tutup lalu klik tombol kembali

Download lagu Calculus Help: Differential Equations - Integrating Factor - (x^5+3y)dx-xdy=0 - Techniques secara gratis hanya untuk keperluan promosi. Dukung artis favorit kamu dengan membeli musik original di iTunes atau platform resmi lainnya.