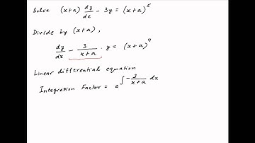
LINEAR DIFFERENTIAL EQUATIONS || Solution to Problem: (x^5 + 3y) dx - xdy = 0

Tonton & Download Video Musik Gratis

⬇ DOWNLOAD NOW
Kalau muncul iklan pop-up, tutup lalu klik tombol kembali

Download lagu LINEAR DIFFERENTIAL EQUATIONS || Solution to Problem: (x^5 + 3y) dx - xdy = 0 secara gratis hanya untuk keperluan promosi. Dukung artis favorit kamu dengan membeli musik original di iTunes atau platform resmi lainnya.