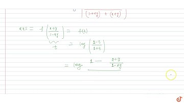
If f(x) = log(1 - x /1 + x) then prove that f(a) + f(b) = f(a + b/1+ ab)

Tonton & Download Video Musik Gratis

⬇ DOWNLOAD NOW
Kalau muncul iklan pop-up, tutup lalu klik tombol kembali

Download lagu If f(x) = log(1 - x /1 + x) then prove that f(a) + f(b) = f(a + b/1+ ab) secara gratis hanya untuk keperluan promosi. Dukung artis favorit kamu dengan membeli musik original di iTunes atau platform resmi lainnya.