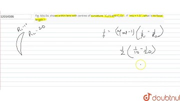
Consider an equiconvex lens of radius of curvature R and focal length f. If `fgtR` , the refract...

Tonton & Download Video Musik Gratis

⬇ DOWNLOAD NOW
Kalau muncul iklan pop-up, tutup lalu klik tombol kembali

Download lagu Consider an equiconvex lens of radius of curvature R and focal length f. If `fgtR` , the refract... secara gratis hanya untuk keperluan promosi. Dukung artis favorit kamu dengan membeli musik original di iTunes atau platform resmi lainnya.