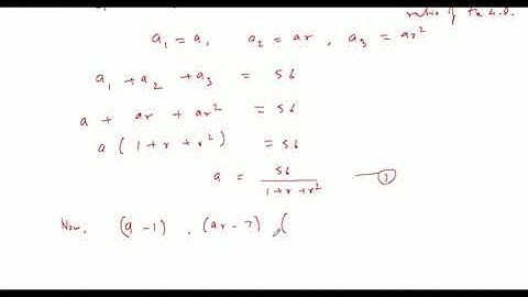
The sum of three numbers in GP is 56 . If 1,7,21 be subtracted from them respectively, we obtain ...

Tonton & Download Video Musik Gratis

⬇ DOWNLOAD NOW
Kalau muncul iklan pop-up, tutup lalu klik tombol kembali

Download lagu The sum of three numbers in GP is 56 . If 1,7,21 be subtracted from them respectively, we obtain ... secara gratis hanya untuk keperluan promosi. Dukung artis favorit kamu dengan membeli musik original di iTunes atau platform resmi lainnya.