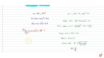
the sum of three numbers in G.P. is 56. If we subtract 1,7,21 from these numbers in that order ...

Tonton & Download Video Musik Gratis

⬇ DOWNLOAD NOW
Kalau muncul iklan pop-up, tutup lalu klik tombol kembali

Download lagu the sum of three numbers in G.P. is 56. If we subtract 1,7,21 from these numbers in that order ... secara gratis hanya untuk keperluan promosi. Dukung artis favorit kamu dengan membeli musik original di iTunes atau platform resmi lainnya.