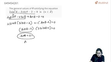
The set of values of `theta` satisfying the inequation `2sin^2theta-5sintheta+2 gt0`, when `the...

Tonton & Download Video Musik Gratis

⬇ DOWNLOAD NOW
Kalau muncul iklan pop-up, tutup lalu klik tombol kembali

Download lagu The set of values of `theta` satisfying the inequation `2sin^2theta-5sintheta+2 gt0`, when `the... secara gratis hanya untuk keperluan promosi. Dukung artis favorit kamu dengan membeli musik original di iTunes atau platform resmi lainnya.