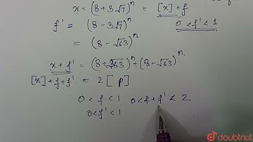
Show that integral part of [3 + sqrt(7)] raied to power n is an odd number.

Tonton & Download Video Musik Gratis

⬇ DOWNLOAD NOW
Kalau muncul iklan pop-up, tutup lalu klik tombol kembali

Download lagu Show that integral part of [3 + sqrt(7)] raied to power n is an odd number. secara gratis hanya untuk keperluan promosi. Dukung artis favorit kamu dengan membeli musik original di iTunes atau platform resmi lainnya.