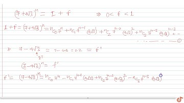
If n is positive integer, then prove that the integral part of `(7 + 4sqrt3)^n` is an odd numb...

Tonton & Download Video Musik Gratis

⬇ DOWNLOAD NOW
Kalau muncul iklan pop-up, tutup lalu klik tombol kembali

Download lagu If n is positive integer, then prove that the integral part of `(7 + 4sqrt3)^n` is an odd numb... secara gratis hanya untuk keperluan promosi. Dukung artis favorit kamu dengan membeli musik original di iTunes atau platform resmi lainnya.