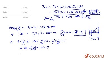
In a YDSE experiment, d = 1mm, `lambda`= 6000 and D= 1m. The minimum distance between two points...

Tonton & Download Video Musik Gratis

⬇ DOWNLOAD NOW
Kalau muncul iklan pop-up, tutup lalu klik tombol kembali

Download lagu In a YDSE experiment, d = 1mm, `lambda`= 6000 and D= 1m. The minimum distance between two points... secara gratis hanya untuk keperluan promosi. Dukung artis favorit kamu dengan membeli musik original di iTunes atau platform resmi lainnya.