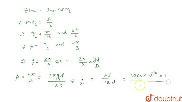
In a YDSE, `D = 1 M, d = 1 mm, and lambda = 1//2 mm.` lt br gt (a) Find the distance between the...

Tonton & Download Video Musik Gratis

⬇ DOWNLOAD NOW
Kalau muncul iklan pop-up, tutup lalu klik tombol kembali

Download lagu In a YDSE, `D = 1 M, d = 1 mm, and lambda = 1//2 mm.` lt br gt (a) Find the distance between the... secara gratis hanya untuk keperluan promosi. Dukung artis favorit kamu dengan membeli musik original di iTunes atau platform resmi lainnya.