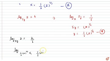
The `x , y , z` are positive real numbers such that `(log)_(2x)z=3,(log)_(5y)z=6,a n d(log)_(x ...

Tonton & Download Video Musik Gratis

⬇ DOWNLOAD NOW
Kalau muncul iklan pop-up, tutup lalu klik tombol kembali

Download lagu The `x , y , z` are positive real numbers such that `(log)_(2x)z=3,(log)_(5y)z=6,a n d(log)_(x ... secara gratis hanya untuk keperluan promosi. Dukung artis favorit kamu dengan membeli musik original di iTunes atau platform resmi lainnya.