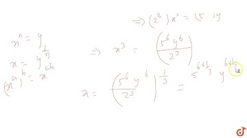
If x, y, z be positive real numbers such that log _2 x(z)=3, log _5 y(z)=6 and log _x y(z)=2/3 th...

Tonton & Download Video Musik Gratis

⬇ DOWNLOAD NOW
Kalau muncul iklan pop-up, tutup lalu klik tombol kembali

Download lagu If x, y, z be positive real numbers such that log _2 x(z)=3, log _5 y(z)=6 and log _x y(z)=2/3 th... secara gratis hanya untuk keperluan promosi. Dukung artis favorit kamu dengan membeli musik original di iTunes atau platform resmi lainnya.